通信世界网消息(CWW)你是否想过,身边那束普通的灯光,有朝一日能成为比5G快数十倍的通信载体? 这一愿景正随着可见光通信技术的突破而逐步照进现实。作为6G网络极具潜力的关键候选技术,可见光通信近年来发展迅猛。中国移动研究院与复旦大学深度合作,在双方联合研制的先进蓝光激光二极管基础上,成功构建了一套高速可见光通信验证系统。该系统实现了接近14 Gbit/s的系统速率,性能达到业界领先水平,为未来6G构建无处不在的“光频段”接入网络奠定了坚实的基石。
新器件:保障可见光高速通信的基石
可见光通信(Visible Light Communications, VLC)的基本原理并不复杂,即通过控制光源的明暗变化来传递信息,其过程类似于一种人眼无法察觉的“闪光摩尔斯电码”。然而,由于传统发光二极管(Light Emitting Diode, LED)光源受载流子寿命、外量子效率和电阻/电容寄生参数的限制,其调制带宽通常只有几MHz,难以支持Gbps速率级别的应用。为此,联合研发团队将目光转向激光二极管(Laser Diode, LD)。与LED不同,LD光源工作在受激辐射模式具备更高的调制带宽。但是,由于材料和器件模型的限制,LD光源无法在可见光频段发射相干光。为实现照明和高速通信的融合,中国移动研究院与复旦大学重新设计了器件架构,采用了最新的第三代半导体材料氮化铟镓/氮化镓(InGaN/GaN),成功研制了可见光波段的蓝光LD光源[1]。该器件的频率响应超过2GHz,其中3dB带宽达到404.4MHz,在3GHz频点的频响为-60dB,在带宽内实现反射系数低于10dB,其为可见光高速通信的进一步发展奠定了重要的硬件基础。

图1 研制的450nm氮化铟镓/氮化镓InGaN/GaN蓝光LD频率响应和反射系数[1]

图2 研制的450nm氮化铟镓/氮化镓InGaN/GaN蓝光LD的光功率[1],其线性区也远大于常用LED
系统架构:如何让激光“携带”移动通信信号?
为验证氮化铟镓/氮化镓(InGaN/GaN)蓝光LD高速率通信能力和与当前移动通信系统的兼容性,研究团队构建了一套完整的离线和实时信号处理系统,以验证研发的LD的高速传输能力[2]。

图3 氮化铟镓/氮化镓InGaN/GaN蓝光LD可见光传输系统(中国移动信息港,北京)
整个传输系统如图3所示,可以分为发射端和接收端两部分。发射端使用正交频分复用(Orthogonal Frequency Division Multiplexing, OFDM)信号,包括15KHz和30KHz两种制式。两种制式的信号带宽分别是50MHz和100MHz,可用的最大资源块(Resource Block, RB)数量分别是270和273个。
表1 实验平台参数设置

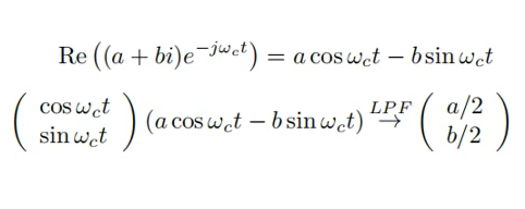
在发射端,原始比特首先经过信道编码、交织和加扰处理后,数据将具备更好的随机性和峰均比(Peak to Average Power Ratio, PAPR)性能。随后,该比特流被调制为I/Q复数信号。此外,导频信号使用信道状态信息参考信号(Channel State Information Reference Signal, CSI-RS)实现,它是一种正交相移键控(Quadrature Phase Shift Keying, QPSK)信号。考虑到LD频响效应的影响,导频被设计为块状类型。当信号和导频完成物理层资源映射后,系统会进行快速傅里叶反变换(Inverse Fast Fourier Transform, IFFT)将频域信号变换到时域,继而添加循环前缀(Cyclic Prefix, CP)并执行并串变换加载到信号源。由于LD无法发送I/Q复数信号,信号源会执行数字上变频(Digital Up Conversion, DUC)操作,将其转换为实信号后驱动LD发光。

图4 上下变频的数学原理
在接收端,光电探测器首先接收光信号,将光信号转化为电信号后发送给频谱仪。频谱仪需要对采样得到的信号进行数字下变频(Digital Down Conversion)和低通滤波以获取复数形式的基带信号。经过时间同步、串并变换和快速傅里叶变化等处理后,被转换至频域信号。最后,通过信道估计与均衡技术对信号进行补偿和校正,即可恢复出原始发送信号。
14 Gbit/s:数字背后的技术突破
(一)高带宽与高阶调制
凭借超过2GHz的大带宽和未授权频谱的优势,传输器件可以将整个带宽灵活分配给多个用户使用。具体而言,根据OFDM的 50MHz和100MHz两种配置,传输系统将3GHz的总带宽划分成若干区域,允许不同用户动态选择一个或多个子带宽进行数据传输,有助于实现可见光传输系统总和速率的最大化。
(二)动态编码调制方案选择
通过子带划分,系统能够根据各子带内器件频率响应的差异,动态选择相应的编码调制方案(Modulation and Conding Scheme, MCS)。若仅考虑调制方案选择,可在频率响应平坦、功率泄漏较小的子带中使用高阶调制,在频响系数和功率泄漏差的频段使用低阶调制。具体的调制阶数受误比特率(Bit Error Rate, BER)严格约束,在使用前向纠错编码的情况下,系统要求各子带的BER低于0.38%。

图5 蓝光LD不同子带的调制选择(子载波间隔为15KHz)

图6 蓝光LD不同子带的调制选择(子载波间隔为30KHz)
通过遍历滑动的方式,研究团队对3GHz带宽内所有的频段进行了测试。测试结果表明,在1GHz带宽内,系统可以实现最高调制阶数——256阶数的正交幅度调制(Quadrature Amplitude Modulation, QAM)。当频率大于2.7GHz时,系统性能急剧下降,该现象与器件的频响曲线变化趋势一致。在1G~2.7GHz的频段内,根据频响的不同,系统可以依次实现64QAM,16QAM,QPSK和BPSK调制。需要指出的是,部分频点存在严重的频域泄漏,这些子带内的传输性能会受到一定影响。在上述两种制式下,传输系统可以分别实现14.319Gbit/s和17.906Gbit/s的超高速率。这一性能表现已能够满足6G对10+ Gbps速率需求。
总结与展望
本研究成功展示了基于氮化铟镓/氮化镓InGaN/GaN蓝光激光二极管的高速可见光通信系统的巨大潜力。通过突破传统LED的带宽瓶颈,研制的新型LD器件为Gbps级传输奠定了硬件基础。
展望未来,可见光通信走向规模化商用仍面临多重挑战。在器件层面,需要进一步降低激光器件的成本、提升可靠性与散热性能。在系统层面,需解决用户移动性带来的链路对准问题。在网络架构层面,如何将VLC无缝融入现有移动通信体系,实现与射频通信的智能协同与切换,是标准化进程中的关键课题。随着第三代半导体材料、光电集成技术和智能信号处理算法的持续突破,可见光通信将不再仅仅是“灯光上网”的概念展示,而有望成为6G网络中一张覆盖广泛、性能卓越的“光频段”接入网,真正实现“无处不在的光连接”这一愿景。
参考文献:
[1] D. Li, C. Ma, J. Wang and F. Hu, “High-Speed GaN-Based Superlu minescent Diode for 4.57 Gbps Visible Light Communication,”MDPI Crystals, vol. 12, no. 2, Jan. 2022, pp. 1-8.
[2] Wang, X., Yang, C., Chen, M., et al., “14 Gbit/s Visible Light Communications Transmission System based on InGaN/GaN Blue Light Laser Diodes,” in Proc. 2023 IEEE 98th Vehicular Technology Conference (VTC2023-Fall), Hong Kong, Hong Kong, 2023, pp. 1-5.


